
“客户关系管理”是个受众很广泛的话题,每个人站在自己的角度都可以发表一篇宏论。然而,思想的痛点在于重复,观点的价值贵在不同的视角。如果你是一名“客户”,那么换到企业的角度来看看吧;如果你是一家“企业”,那么换成客户的角度想想;如果你两种角色都有,那么请到“上国会-凯瑞|金融财务EMBA”的课堂上,听一听巴拉克•李白(Barak Libai)教授在“客户关系管理”课程中的视角和见解吧。找到第三只眼,寻求更多视角,这会带给我们更深刻的体会,而这也正是学习活动的一大魅力!

客户投诉:我的真实体验
我不算是个好打发的客户,我喜欢把自己体验过的产品和服务做比较,喜欢分析总结他们之中谁做得更好,谁还有提升空间,碰上我不愿忽略的失误或不足时,“好为人师”的我还喜欢和他们直接沟通,求关注,乃至求改进,也就是俗称的“投诉”。我以为我就要被贴上“爱挑刺的客户”标签,成为众多商家避之唯恐不及的一类人了。“不巧”的是,后来我又学了营销专业,这不仅给我偶尔萌生的投诉意图填补了更多理论支持,还让我在“更深的层面”上认识到了自己的“宝贵”价值:我理解营销举措、喜欢尝试新产品和服务、愿意配合“被”调研、忠于自己的真实感受、乐于提出完善意见、珍惜企业的品牌形象……我是一位多么“优质”的客户啊!这种想法进一步助长了我每次投诉时的“气焰”。
最近的一次投诉源于两天前我叫的一份外卖。当时我心血来潮想要体验一款新APP的外卖服务,于是在它的平台上选择了广大百姓喜闻乐见的“W面”品牌的面条和煎饺。在苦等了35分钟(超过该APP的30分钟服务承诺)后,我从外卖大哥手中接过晚饭,不好意思再啰嗦,便送他出门去下一家。然而回头整理晚饭时,我才发现订单上的两份煎饺只送来了一盒,恍惚中我猜测:莫非是我点单时看错了?也许两份一共就只有一盒这么多吧。于是我匆匆吃完,还分别给W面和外卖服务进行了评价。
昨晚,因为确实爱吃W面,我再度选择了它做晚饭,这次我去了实体店。点单时我仔细看了下煎饺的描述,确认该店上次的外卖少送了一份,于是找来店员小妹投诉。我向她描述了一篇记叙文,时间、地点、人物、事件之类的要素一个不少,请她核实这件事。我没有提出任何补偿,但我很想看看她会怎么应对。
小妹客气地回复我:“很抱歉,因为每天交班人员不同,我目前可能无法核实您的订单,但我们准备马上补给您这份外卖,您看可以吗?”在听到我同意之后,她向主管汇报了这件事,并且获得补单授权。外卖做好后,她送来时又再次致歉。整个过程没有质疑、争辩、推脱,对方态度平和有礼,致歉真诚有效,流程顺畅高效,在直面客户的店员层面就把问题解决了,让我瞬间觉得这家店不仅面好吃,服务也很训练有素,我更愿意忠诚于它了。

客户关系:平息投诉的目的
李白教授在“客户关系管理”课堂上谈到与营销组合(4P)对应的客户组合策略,即客户获取(获取新客户)、客户开发(从现有客户身上赚更多钱)和客户留存(使客户成为“回头客”)。虽然这三种策略适用于不同时期、不同条件下的企业,但在多数情况下,客户留存会比客户获取带来更多价值,也能带来客户忠诚,因此不少企业变换使用了客户满意度、客户留存率、忠诚度、钱包份额等种种指标,以期通过各种角度实时掌控企业客户关系管理的成效以及客户留存的可能性。
来源:上国会-凯瑞|金融财务EMBA“客户关系管理”课件
我有理由相信,W面之所以愿意妥善处理我的投诉,正是因为想要和我构建很好的关系,以防止我流失掉,守住留存率。正如李白教授提醒大家的那样,客户投诉的时候往往是一次关键的客户互动,它既是客户最可能流失的时候,也是很可能带给客户惊喜乃至行成客户忠诚的时候。如果我们能妥善处理投诉,那么即便竞争对手有促销,即便我们的产品或服务价格上涨,即便出现偶尔服务不周的情况,即便客户有这样那样的选择机会,他们还是会选择我们。不仅如此,他们除了购买行为之外,还会更乐于“参与”,比如参与调研、口碑宣传或是社交媒体上的品牌社区活动等。
当然,处理投诉本身并不是容易的事,有时企业甚至很难判断哪些客户是故意刁难,哪些客户是确有困难,这就更无从谈起适当的应对措施。李白教授通过丹•艾瑞里(Dan Ariely)的案例《客户的报复》让大家更深刻地体会到了这一点。
案例中谈到了一位名叫杰西卡•朗的客户给艾迪达汽车公司首席执行官保罗•图姆寄来的一封投诉信。前提是这位客户以往的投诉信已经多到要把保罗淹没掉了,而且绝大部分都是关于她的那款Andromeda XL(该公司经典车型)的,她在该车面市不久就买了一辆。一开始,是空调坏了,接着CD播放机卡住了,随后催化式排气净化器也罢工了等等,数不胜数。公司已经免费为她解决了所有问题,事实上,艾迪达公司已经把这辆车的零件从头到脚都换成了新的,可她还是会持续地寄信来,就新换的零件也抱怨上一通。这次她更是认为刚换的维修件又出故障,以及公司在维修服务方面的不作为导致她延误了重要的宴会,她怒不可遏,只好再向公司控诉这令人“发指”的经历。
碰到这类情形,公司该怎么应对呢?是对她置之不理,还是任她予取予求?是打算舍弃她这样的客户,还是尽全力维护与她的友好关系?在纠结于具体的决策时,我们需要借助有效的分析工具,并明确企业的战略方向。
客户盈利能力:管理客户关系的依据
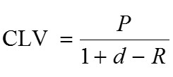
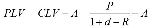
在衡量客户的盈利能力,进行客户关系管理决策时,客户终身价值(Customer Lifetime Value,CLV)是首选工具。客户终身价值强调的是未来的盈利能力,谁才是真正的客户、时间跨度、每期利润(收入和成本)、贴现率、留存率、客户获取成本……这些因素共同决定了客户终身价值的大小。假定长期的固定收益为P,固定留存率为R,贴现率为d,时期为t,那么长期来看,客户终身价值和预期终身价值(PLV)可以下面的简便方式求得:


来源:上国会-凯瑞|金融财务EMBA“客户关系管理”课件
上述终身价值更多的是评价客户自身在财务方面的有效贡献,除此之外,客户盈利能力还有其他的表现形式,例如社会价值、知识价值、准入价值等。具体而言,社会价值是指某客户通过口碑效应等方式影响他人,从而为企业创造了多少利润;知识价值是指某客户通过参与市场调研、分享关于产品使用的信息等方式,帮助企业学习,从而为其创造了多少价值;准入价值是指通向将来有联系的某些客户的通道价值,比如某公司为了获得另一家公司的客户而收购该公司,那么收购价格就是准入价值。客户的价值体现在方方面面,这些价值点都可以成为客户的盈利能力,因此值得企业去认真挖掘。也许在深入思考和挖掘之后,我们会感到脑洞大开,说不定之前看重的客户和这样评价后的客户有显著的不同。
在更清晰地了解我们所面对的客户之后,我们要做的是根据企业的战略目标决定如何区别对待不同的客户,以此提升企业的整体盈利能力。通常而言,企业会根据盈利能力将客户分为高中低三个层次,并且这些客户的表现往往符合“帕累托法则”(即“二八定律”)。基于此,李白教授分别介绍了针对这三个层次客户的常规举措。对高端客户,企业往往会奖励他们,因为他们是最有价值的客户,如果他们流失了,将会对企业造成很大损失;对中层客户(对企业而言属于中低收入的客户),企业要考虑的会是开发,但企业首先要评估这些客户中哪些人值得开发和投资;对最低层次的客户,由于企业在他们身上总是赔钱,如果他们不能得到提升,企业可能对他们消费的服务进行提价,这事实上是“舍弃”了这些客户。
值得一提的是,这些只是常规举措,是大多数企业在面对显著的盈利能力差别时,会对客户采取的直观反应。在具体到某个企业时,还是有必要针对实际情况和战略目标来认真决策客户关系管理举措。比如,对具有较低盈利能力甚至赔钱的客户,是否就应该直接舍弃呢?或许他们是因为分摊了固定成本才显得不赚钱,所以舍弃他们后,其他的盈利能力会更低?或许他们中有些人在未来就能提升盈利能力?或许他们还有口碑等间接客户价值?或许舍弃他们不合法,或是会带来负面口碑……这是一个值得慎重考虑的决策。此外,对中高层客户的决策也未必是一目了然、简单易行的,比如在资源有限的情况下,企业是应当将资源倾向于高层,让他们更满意,还是应当倾向于中层,让他们逐渐转变为高层呢?这些都不是简单一句话可以回答的问题,需要企业掌握准确详实的客户数据分析结果后,再依据战略目标进行取舍。
客户资产:可行的价值点和战略目标
说到企业战略,李白教授问到:企业的价值点到底在哪里?靠什么竞争策略能赢得不败之地呢?对此,他给大家介绍了一本书——《市场领导者的修炼》(《The Discipline of Market Leaders》,Treachy and Wiersema)。作者在这本书里说明了市场领导者会选择的三种“价值信条”:运营卓越(Operational Excellence)、产品领先(Product Leadership)和客户关系密切(Customer Intimacy)。
首先,一流的运营和超强的执行会成为企业的价值点,比如沃尔玛。这类企业通常表现为以非常低的价格提供质量优越的产品或服务,它关注的焦点一般是效率、流线化生产、供应链管理、无冗余服务、重视数量,其产品的类别比较有限,多元化不足。其次,善于产品创新和市场品牌的塑造也会成为企业的价值点,比如强生、耐克。这类企业的产品性能会非常优越,在市场上的表现会很活跃,企业文化也很灵活,它关注的焦点通常是开发、创新、设计、市场时效性、较短时间内获取高额边际利润。最后一种价值点是企业擅长于客户关注和客户服务。它们可以根据客户个性化的需求调整产品,提供定制化的服务,或是寻求并满足其他企业不打算满足的特殊客户需求。它们的产品类别非常丰富,差异化特征明显,关注的焦点往往是客户关系管理、产品或服务的供给准时并超出客户期望、终生价值概念、可靠性、贴近客户等等,并且它们时常会将决策权下放给与客户直接打交道的员工。
回过头来看,我们各自的企业更适合塑造哪个价值点呢?伴随制造业全球化和贸易壁垒逐步减少的趋势,企业相互模仿的过程更加迅速,信息通道也更加便捷,想要在运营和产品性能方面保持独有的竞争优势越来越难。我们时常想要抱怨:“为什么客户只看价格?”可是仔细想想,这倒也真的怪不得客户。大路货趋势的出现导致企业差异化的能力被严重削弱,既然提供的产品和服务都差不多,当然只好去比较价格。在这种情形下,如果能够发展较为密切的客户关系,将会更有利于将其作为差异化的基础,再通过品牌建设树立起情感上的产品领袖,这会是更有效地破解大路货问题的招数。由于每个客户关系本身就是独特的、难以复制的,并且有助于建立起转换成本,所以企业可以考虑把维系密切的客户关系、获取客户资产(客户终身价值的总和)作为新的价值点。

来源:上国会-凯瑞|金融财务EMBA“客户关系管理”课件
诚然,不是每个企业都适合面向每个客户去管理,这正是市场细分的必要性所在。要实现对个体层面的客户“一对一”的营销管理,首先要客户具备差异化的特征,这包括客户给企业带来的价值有差异,以及客户需求有差异;其次要企业具备与客户灵活沟通的能力,以及生产、物流方面的灵活性(为大规模定制奠定基础),如此才能将客户关系管理的优势发挥到最大程度。如下图中的四个象限,以行业来举例可见,像加油站之类的企业,只适合大众营销;像航空公司、移动通信公司等企业,客户需求类似但盈利能力差异大,更适合常客计划或推出新产品;像时装店、书店等企业则相反,客户的盈利能力很接近,但需求差异大,比较适合针对利基市场(小众市场)确定营销策略;像电脑系统、药店、宾馆等企业,客户的盈利能力和需求差异都很大,才最适合采用“一对一”的营销。
来源:上国会-凯瑞|金融财务EMBA“客户关系管理”课件
总之,客户在盈利能力上有差异,其需求也多种多样,企业可以与客户建立灵活的沟通互动,同时在生产和物流等方面有一定弹性,满足上述条件,就是将客户关系和客户资产作为企业价值点的理想状态。您的企业适用吗?
巴拉克•李白(Barak Libai)教授简介:
以色列荷兹利亚跨学科学院(IDC)的阿里森商学院教授。在此之前李白教授曾执教于特拉维夫大学 的雷卡蒂尼商学院,以及以色列理工学院。他也曾在麻省理工学院斯隆管理学院执教。
李白教授主要研究顾客的社会效应,例如:口碑效应,以及他们对于新产品发展和企业盈利的影响。同时他还研究新产品的市场扩张和客户关系管理。李白教授在权威学术刊物如:Marketing Science,Journal of Marketing,Journal of Marketing Research,Journal of Service Research and the International Journal of Research in Marketing上发表多篇论文。
李白教授在有关消费者互动而带来的经济效益方面的研究成果突出,获得的来自服务研究期刊,市场营销学院,美国营销协会,国际营销学研究期刊,以及欧洲市场研究学会颁发的多个奖项。